Im Modell der Stringtheorie entspricht jedes Elementarteilchen einem schwingenden String, d.h. alle Materie - die gesamte stoffliche Welt um uns herum - soll aus letztendlich nur einem einzigen "Grundbaustein" bestehen: eindimensionale
Strings.
Je höher die Frequenz der Schwingung, desto höher die Energie (bzw. Masse) des Teilchens. Ein Charm-Quark-String besitzt also eine höhere Masse und demnach auch Schwingungsfrequenz als beispielsweise ein Elektronen-String.[1]
Strings sind p-Branen mit p = 1.
Vor ca. 2400 Jahren wurde im antiken Griechenland erstmals die Vermutung geäußert, die Welt bestehe aus unteilbaren Teilchen, den Atomen (griechisch „a-tomos“ = unteilbar). Knapp 2200 Jahre später wurde diese Idee wieder aufgegriffen, doch im Laufe der Zeit stellte man fest, dass sich Atome in noch kleinere Bestandteile zerlegen lassen, in Elektronen und einen Atomkern. Dieser wiederum besteht aus Protonen und Neutronen, die sich ihrerseits aus jeweils drei Quarks zusammensetzen. Diese Teilchen, Elektronen und Quarks, gelten bisher als elementar und lassen sich nicht weiter zerlegen, sind also die kleinsten bekannten Bausteine der Materie. Bisher wurden Elementarteilchen nach dem Standardmodell als nulldimensionale, punktförmige Objekte aufgefasst, die weder räumliche Ausdehnung, noch innere Struktur besitzen.
Die Stringtheorie behauptet im Gegensatz dazu nun, dass Teilchen doch eine räumliche Ausdehnung besitzen, nämlich in Form von kleinen, schwingenden, unendlich dünnen, also eindimensionalen Saiten, die jedoch so klein sind, dass sie aus der Entfernung als Punktteilchen erscheinen. Nach der Stringtheorie entspricht jedes Teilchen (auch Eichbosonen) einem bestimmten Schwingungsmodus eines Strings. Veranschaulichen lässt sich dies an einer Gitarrensaite: Jeder erzeugte Ton entspricht einer bestimmten Frequenz, mit der die Saite schwingt. Analog dazu erzeugen die verschiedenen Schwingungsmuster eines Strings verschiedene Eigenschaften von Teilchen, wie z.B. Masse, Ladung, Spin, usw., wobei immer eine ganze Zahl von Wellenbergen und –tälern auf die Länge des Strings passt. Dies lässt sich gut am Beispiel der Teilchenmasse darstellen: Die Energie eines bestimmten Schwingungsmusters hängt von seiner Amplitude und Wellenlänge ab. Je größer die Amplitude und je kleiner die Wellenlänge, desto größer die Energie (Quantenmechanische Beziehung nach Einstein: E = h*v). Aus der Relativitätstheorie geht hervor, dass Masse und Energie zwei Seiten der gleichen Medaille sind (Relativistische Beziehung ebenfalls nach Einstein: E = mc^2), folglich legt die Energie des Schwingungsmusters die Masse des Strings fest. Schwere Teilchen beruhen demnach auf Strings, die heftiger, also mit höherer Energie schwingen und umgekehrt. Ein String kann auf zwei verschiedene Arten schwingen, man unterscheidet hier zwischen den gerade erläuterten gewöhnlichen Schwingungen und so genannten Schwerpunktschwingungen. Letztere bezeichnen die Bewegung eines Strings, die seine Position aber nicht seine Form verändern und werden erst später eine Rolle spielen. Im Prinzip kann ein String unendlich viele Schwingungen ausführen und somit theoretisch eine unendliche Zahl verschiedener Teilchen entstehen lassen. Somit liefert die Stringtheorie auf elegante Weise eine Erklärung für die Vielfalt an bekannten Teilchen. In der Stringtheorie unterscheidet man zwischen relativistischen und nichtrelativistischen Strings, wobei letztere eine Wellengeschwindigkeit v(w) weit unterhalb der Lichtgeschwindigkeit besitzen. Bei diesen Strings gilt typischerweise für die Wellenlänge:
Und somit für die Frequenz:
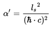
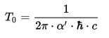
wobei l(s) die Länge des Strings und n die ganzzahlige allgemeine Lösung der eindimensionalen Wellengleichung ist. Das Bemerkenswerte an der Stringtheorie ist, dass viele Lösungen von Problemen (z.B. das gerade beschriebene Problem der Fülle an Teilchen) einfach eine logische Konsequenz aus ihr sind. Wie zuvor erläutert entdeckten Schwarz und Scherk in den 70er Jahren, dass eines der Stringschwingungsmuster genau den Eigenschaften des Gravitons entspricht, so dass die Gravitation in den quantenmechanischen Rahmen der Stringtheorie mit einbezogen wird. Des Weiteren stellte sich, als man Eigenschaften von Strings bezüglich der Raumzeit untersuchte, überraschenderweise heraus, dass sich die Gleichungen der allgemeinen Relativitätstheorie völlig von selbst, d.h. ohne eine einzige der Gleichungen vorauszusetzen, aus der Stringtheorie ergaben. So konnte auch die Raumzeit elegant in den stringtheoretischen Rahmen eingegliedert werden. Wie eine Gitarrensaite, so hat auch ein String eine gewisse Spannung, allerdings eine sehr viel höhere. Für die Stringspannung gilt:
mit
Ein Schwingungsmuster mit einer hohen Spannung besitzt mehr Energie als ein gleiches mit geringerer Spannung. Die Masse eines Strings hängt also neben der Art seiner Schwingung auch von seiner Spannung ab. Wie Schwarz und Scherk zeigen konnten, entspricht die Spannung des Gravitons der Planckspannung, woraus folgt, dass ein typischer String die Größe der Plancklänge hat. Dies ist entscheidend für die Vereinheitlichung von allgemeiner Relativitätstheorie und Quantenmechanik.
Strings können eine offene oder geschlossene Form besitzen. Offene Strings haben zwei lose Enden, während Stringschleifen in sich geschlossen sind. Im Folgenden wird ausschließlich von geschlossenen Strings ausgegangen, die Bedeutung von offenen Strings wird im Eintrag über Branen behandelt.
Die enorme Spannung, die Strings besitzen, erweist sich auf den
ersten Blick als problematisch. Die durch die Schwingungsmuster ausgedrückten Energien sind immer ganzzahlige Vielfache von kleinsten Energiewerten, die, wie Berechnungen zeigen, der
Stringspannung proportional sind. Weil diese so gewaltig ist, sind auch die Mindestenergien sehr groß, sie sind Vielfache der Planckenergie. Da Energie sich in Masse umwandeln lässt und
umgekehrt, bedeutet dies, dass auch die entsprechenden Massenäquivalente typischer Strings enorm sind, viel größer als z.B. die Massen der Teilchen aus den 3 Teilchenfamilien. Sie sind Vielfache
der Planckmasse. Wie kann also die Stringtheorie die Eigenschaften der bekannten Teilchen erklären, wenn die typische Masse eines Strings z.B. um den Faktor
10^23 größer als die Masse des Elektrons, oder um den
Faktor 10^19 größer als
die des Protons ist? Mit der Zeit wurden mehrere Strategien entwickelt, um dieses Problem zu lösen. Eine Erklärung dafür ist der Umstand, dass schwere Teilchen ziemlich instabil sind und nach kurzer Zeit in viele, leichtere Teilchen mit geringen Massen zerfallen. Das gilt vermutlich auch für Strings, so dass, wenn überhaupt, nur noch sehr wenige dieser im frühen Universum entstandenen massereichen Strings existieren. Eine andere Lösung bietet die Unschärferelation. Sie besagt, dass alles im Universum Quantenbewegungen unterworfen ist, so auch ein String. Es zeigte sich, dass die Energien der Quantenschwingungen im Bezug auf die Schwingungsenergien eines Strings negativ sind und sie sich gegenseitig aufheben. Die Energie eines Strings wird somit ungefähr um den Betrag der Planckenergie reduziert. Da die energieärmsten Stringschwingungs-muster in etwa Energien besitzen, die der Planckenergie entsprechen, werden diese fast vollständig ausgelöscht. Übrig bleiben geringe Energien und dazugehörige Massenäquivalente, die den Werten der bekannten Bosonen und Fermionen ähnlich sind. Im Falle des Gravitons heben sich die Energien vollkommen auf, so dass das Teilchen, wie erwartet, keine Masse besitzt. Da ein String jedoch wie erwähnt in der Lage ist, in unendlich vielen Arten zu schwingen, stellen diese energiearmen Schwingungsmuster eine Besonderheit dar, wohingegen typischere Strings viele Millionen mal energie- und massereicher sind. Aufgrund der extrem hohen Energien, die zur Entdeckung solch schwerer Teilchen nötig sind, wurden diese bis heute noch nicht entdeckt.
Im Standardmodell wird die Wechselwirkung von Teilchen durch Eichbosonen erklärt, die zwischen diesen übertragen werden und deren Bahnen verändern. In der Stringtheorie hingegen wechselwirken Strings miteinander, indem sie sich zu einem einzigen String vereinigen oder sich in weitere aufteilen. Dies lässt sich an einem Beispiel verdeutlichen: In der Quantenmechanik kann es vorkommen, dass sich ein Elektron-Positron-Paar gegenseitig vernichtet und ein virtuelles Photon erzeugt, welches eine kurze Strecke zurücklegt und anschließend seine Energie wieder freisetzt, indem es ein neues Elektron-Positron-Paar erzeugt, jedoch mit veränderten Richtungen. Im Kontext der Stringtheorie betrachtet bedeutet dies, dass sich die beiden Strings (e- und e+) zu einem dritten String zusammenschließen, welcher dem Photon entspricht. Dieser legt einen kurzen Weg zurück und teilt sich anschließend wieder in zwei Strings (e- und e+) auf. Aufgrund des winzigen Maßstabs erscheinen Stringinteraktionen jedoch aus der Entfernung wie der Austausch von Eichbosonen. Da ein String zu jedem Zeitpunkt eine bestimmte Position im Raum einnimmt, lässt sich seine Geschichte als Fläche in der Raumzeit, als „Weltfläche“ in Form einer Röhre, bzw. „Weltvolumen“ darstellen. Somit kann auch die Wechselwirkung von Strings als Weltvolumen dargestellt werden.



Wie bereits erläutert, erwächst der Konflikt der beiden Theorien aus
der Tatsache, dass die allgemeine Relativitätstheorie auf einer glatten Raumzeit basiert, während die Quantenmechanik besagt, dass alles im Universum Quantenfluktuationen unterworfen ist, die bei
immer kleineren Abständen immer heftiger werden. Bei Abständen unterhalb der Plancklänge gelten die Gesetze der Relativitätstheorie nicht mehr, weil die Raumzeit schwankt und heftigsten
Fluktuationen ausgesetzt ist. Da die Teilchen des Standardmodells punktförmig also nulldimensional sind, können sie in Abstände unterhalb der Plancklänge „eintauchen“ und die Quantenfluktuationen
erfassen. Die Stringtheorie ist in der Lage dieses Problem zu umgehen, der Schlüssel dazu ist die räumliche Ausdehnung von Strings. Da diese typischerweise die Größe der Plancklänge besitzen und
die fundamentalen Bausteine des Universums sind, gibt es keine Möglichkeit, Abstände unterhalb der Plancklänge zu erfassen. Es treten zwar Quantenfluktuationen auf, allerdings in einem Maße,
welches die Gültigkeit der Relativitätstheorie bewahrt. Der fatale Quantenschaum ist also nicht messbar und somit nicht mehr relevant. Nun ist es aber so, dass bei Punktteilchen eine Erhöhung
ihrer Energie zu einer Verkürzung ihrer Quantenwellenlänge führt, womit die Sondierung immer feinerer physikalischer Strukturen möglich wird. Dies könnte zu der Überlegung führen, eine Erhöhung
der Energie eines Strings führe ebenfalls zu der Fähigkeit, in immer kleinere Bereiche des Raums vorzudringen. Es konnte jedoch nachgewiesen werden, dass eine Erhöhung der Energie eines Strings
über den Wert hinaus, der für die Sondierung im Bereich der Plancklänge erforderlich ist, den String zum Größenwachstum veranlasst, was seine Fähigkeit, kurze Abstände zu erfassen, verringert.
Die Stringtheorie vermeidet allerdings noch aus einem anderen Grund die fatalen Quantenfluktuationen. Geht man wie im Standardmodell von Punktteilchen aus, so finden ihre Wechselwirkungen an
einem bestimmten Punkt in der Raumzeit statt. Befinden sich zwei Beobachter in Relativbewegung zueinander, so sind sie sich einig über den Ort der Wechselwirkung, da diese an einem einzigen Punkt
der Raumzeit zusammengepfercht ist. Wenn die Kraft der Wechselwirkung die Gravitation ist, so ergeben sich die oben erwähnten unendlichen Resultate. Dies vermeidet die Stringtheorie. Die
Interaktion von Strings kann als Weltröhre dargestellt werden, deren räumliche Ausdehnung dazu führt, dass zwei sich in Relativbewegung zueinander befindende Beobachter sich nicht einigen können,
an welchem Punkt der Raumzeit die Interaktion stattfindet. Dadurch wird der Ort der Wechselwirkung „verwischt“, da diese nicht mehr auf einen einzigen Punkt in der Raumzeit konzentriert ist.
Somit vermeidet die Stringtheorie die unendlichen Resultate und reduziert die katastrophalen Auswirkungen der
Quantenfluktuationen bei Abständen unterhalb der Plancklänge soweit, dass die Gravitation in einen quantenmechanischen
Rahmen eingegliedert werden kann. Die Stringtheorie schafft also die lang erhoffte Verbindung von allgemeiner Relativitätstheorie und Quantenmechanik als Quantenfeldtheorie der Gravitation und
ist somit heißer Kandidat für eine TOE.


pagesteve (Freitag, 16 Dezember 2022 15:52)
Grüße vom Großen Orden des Lichts aus dem Vereinigten Königreich und der ganzen Welt, dies ist eine offene Gelegenheit, sich der Bruderschaft der Erleuchteten anzuschließen, wo Sie Ihre verlorenen Träume finden und auch das Licht des Reichtums sehen können. Kasten. Und Glück ohne Blutopfer. Und wir zahlen auch einen Betrag von 1.000.000,00 $ für alle neuen Mitglieder, wenn sie der Gemeinschaft beitreten und damit in ein Zuhause ihrer Wahl und an einem Ort investieren, um sie im Leben berühmt zu machen. Erhalten Sie Vorteile für neue Mitglieder, die im Licht sind 1. Barprämie von 1.000.000,00 $ 2. Ein stilvolles neues Traumauto, das 150.000 $ kostet 3. Ein Traumhaus, das im Land Ihrer Wahl gekauft wurde. Ein Monat Beratung mit den 5 Besten der Welt. Leaders und 5 wichtigsten Persönlichkeiten der Welt. Bei Interesse kontaktieren Sie uns bitte per WhatsApp +1 (315)388-2001
Edith (Dienstag, 06 Juli 2021 07:24)
LOTTO, lottery,jackpot. Hello all my viewers, I am very happy for sharing this great testimonies,The best thing that has ever happened in my life is how I win the lottery euro million mega jackpot. I am a Woman who believe that one day I will win the lottery. finally my dreams came through when I email basserabdul59@gmail.com and tell him I need the lottery numbers. I have spend so much money on ticket just to make sure I win. But I never know that winning was so easy until the day I meant the spell caster online which so many people has talked about that he is very great in casting lottery spell, . so I decide to give it a try.I contacted this great Abdul Basser and he did a spell and he gave me the winning lottery numbers. But believe me when the draws were out I was among winners. I won 30,000,000 million us Dollars. Abdul Basser truly you are the best, all thanks to you forever ,contact him via +27717403094 / , Email basserabdul59@gmail.com ,visit, http://www.africanspellscaster.co.za
Justin Riley (Sonntag, 16 Mai 2021 08:21)
HOW I GOT MY DESIRED LOAN AMOUNT FROM A RELIABLE AND TRUSTED LOAN COMPANY LAST WEEK Email for immediate response: drbenjaminfinance@gmail.com Call/Text: +1(646)820-1981 Whatsapp +19292227023 Visit their website and believe yourself Company Website: https://capitalmanage-inc.com/
Hello everyone, My name is Mr.Justin Riley, I'm from United States, I'm here to testify of how i got my loan from CAPITAL MANAGEMENTS INC (drbenjaminfinance@gmail.com) after i applied Two times from various loan lenders who claimed to be lenders right here this forum,i thought their lending where real and i applied but they never gave me loan until a friend of mine introduce me to {Dr.Benjamin Scarlet Owen} the C.E.O of CAPITAL MANAGEMENTS INC who promised to help me with a loan of my desire and he really did as he promised without any form of delay, I never thought there are still reliable loan lenders until i met {Dr.Benjamin Scarlet Owen}, who really helped me with my loan and changed my life for the better. I don't know if you are in need of an urgent loan also, So feel free to contact Dr.Benjamin Scarlet Owen on his email address: drbenjaminfinance@gmail.com CAPITAL MANAGEMENTS INC holds all of the information about how to obtain money quickly and
painlessly via Whatsapp +19292227023 Email: drbenjaminfinance@gmail.com
And consider all your financial problems tackled and solved. Share this to help a soul right now, Thanks
Visit their website and believe yourself Company Website:https://capitalmanage-inc.com/
Dorathy (Donnerstag, 21 Januar 2021 14:06)
Hallo allerseits. Ich war 8 Jahre mit William verheiratet. Die Dinge wurden hässlich und wir hatten fast jedes Mal Kämpfe und Auseinandersetzungen. Es wurde schlimmer, als er die Scheidung beantragte. Ich versuchte mein Bestes, um ihn dazu zu bringen, seine Meinung zu ändern und bei mir zu bleiben. Aber er zog aus dem Haus und ging trotzdem weiter, um die Scheidung zu beantragen. Ich flehte und versuchte alles, aber immer noch funktionierte nichts. Der Durchbruch kam, als ein Freund mich diesem wunderbaren, großartigen Zauberwirker vorstellte, der mir schließlich half. Ich war noch nie ein Fan von solchen Dingen, habe mich aber entschlossen, es widerwillig zu versuchen, weil ich verzweifelt war und keine andere Wahl hatte. Er betete besonders und benutzte Wurzeln und Kräuter. Innerhalb von 4 Tagen rief er mich an und entschuldigte sich für all das emotionale Trauma, das er mich gekostet hatte. Er zog zurück ins Haus und wir leben weiterhin glücklich. Was für ein wunderbares Wunder, das Dr. Freedom für mich und meine Familie getan hat. Ich habe ihn vielen Paaren mit Problemen auf der ganzen Welt vorgestellt und sie hatten gute Nachrichten. Ich bin der festen Überzeugung, dass jemand da draußen seine Hilfe braucht. (Freedomspellcast@gmail.com oder erreichen Sie ihn über WhatsApp unter +2348070670337. Bemühen Sie sich also besonders, Ihre Ehe / Beziehung zu retten. Sie können ihn auch kontaktieren, wenn Sie Probleme haben.
Ladiova Ballack (Dienstag, 17 November 2020)
Ich hätte fast meine Ehe verloren, weil mein Mann mich betrogen hatte, das dauerte ein Jahr, weil ich mir nicht sicher war, bis er eine Scheidung beantragte und das Haus verließ. Ich war schockiert, das machte mich so krank, dass ich mich tagelang auf keinen Bereich konzentrieren konnte, dachte weiter und fing an zu trinken. Ich brauchte so dringend Hilfe, dass ich eine Freundin um Rat bat und sie mir Dr. ODIBOH DADA empfahl, der mir versicherte, er könne mir helfen, und so tat ich, was er von mir verlangte, und er sagte mir, mein Mann würde seine Meinung ändern und dass er ihn dazu bringt, zu mir zurückzukehren und ihn auch vom Betrug abzuhalten, also vertraute ich ihm und nach 7 Tagen kam mein Mann nach Hause und bat mich, ihm den Schmerz zu vergeben, den er mir und den Kindern zugefügt hatte, den er wollte Sei wieder mein Mann und Vater für unsere Kinder. Ich hätte nie gedacht, dass es immer noch mächtige Menschen auf der Erde wie Dr. ODIBOH gibt, die immer noch helfen können, Probleme zu lösen. Ich bin für immer dankbar für seine Hilfe und empfehle ihn für Hilfe bei jedem Problem. Sie können ihn direkt über seine E-Mail-Adresse (odibohsolutionhome@gmail.com) oder noch besser über seine WhatsApp-Nummer +2347048883838 erreichen.
dan morgan (Mittwoch, 30 September 2020 05:20)
I was having Herpes Simplex Virus then i came across a review of people saying that they got treated from Herpes Simplex Virus by Dr VOODOO., So i gave a try by contacting him through his email and explain my problem to him. He send natural medicine herbs to me and told me all the things I need to do and also give me instructions to take the medicine, which I followed properly. Before I knew what is happening after two weeks the HERPES SIMPLEX VIRUS that was in my body got vanished . so if you are also heart broken by any deadly diseases like HERPES HIV, shingles,low sperm count or bringing back your ex lover, this great man is extremely the best in which I have seen if you also need a help, you can also email him at voodoospelltemple66@gmail.com Add Dr voodoo on whatsApp +2348140120719
ketesha thomas (Donnerstag, 10 September 2020 07:01)
Erleben Sie eine schmerzhafte Trennung oder Scheidung? Holen Sie sich Ihre Ex dringend zurück und behalten Sie sie dauerhaft. Dr.KAYODE ist ein wahrer und wahrer Liebeszauberwirker. Er hat meinen Ex-Mann zurückgebracht.
Ich bin Ketesha Thomas und komme aus Tx, USA. Mein Mann hat sich vor 4 Monaten von mir scheiden lassen und ich war voller Reue, weil ich nicht wusste, was ich tun sollte, um Probleme mit meinem Mann zu ändern. Ich suchte im Internet nach Hilfe, wie ich Hilfe in meiner Ehe bekommen könnte, und entdeckte großartige Zeugnisse über Dr. Kayode, der mit seinen Zaubersprüchen fortschrittlich war. Ich habe mich mit ihm in Verbindung gesetzt und siehe, Dr. Kayode hat mir gesagt, dass er einen Zauber für mich vorbereiten wird, der meinen Mann zurückbringt. Ich war skeptisch, aber ich hatte keine andere Wahl, als mit ihm zu arbeiten. 11 Stunden später rief mich mein Mann an, dass er nach Hause zurückkehrt und von diesem Tag bis zu diesem Moment haben wir friedlich gelebt. Er ist jetzt mit so viel Liebe und Fürsorge zurück. Heute freue ich mich, euch alle wissen zu lassen, dass dieser Zauberwirker die Macht hat, Liebende zurückzubringen. Weil ich jetzt mit meinem Mann glücklich bin und die größte Überraschung ist, dass unsere Liebe sehr stark ist, jeder Tag Glück und Freude ist. und es gibt nichts Schöneres als mit dem Mann zusammen zu sein, den du liebst. Ich werde Dr. Kayode jedem empfehlen, der Hilfe benötigt. Wenn Sie Probleme haben, wenden Sie sich an Dr. Kayode. Ich gebe Ihnen 100% Garantie, dass er Ihnen helfen wird. Hier ist sein Kontakt, WhatsApp: (+2348105366020) ODER E-Mail: (Kayodejoseph896@gmail.com) .....
ruth williams (Mittwoch, 24 Juni 2020 02:51)
Mein Mann und ich sind jetzt seit ungefähr 7 Jahren verheiratet. Wir waren glücklich verheiratet und hatten zwei Kinder, einen Jungen und ein Mädchen. Vor 3 Monaten bemerkte ich ein merkwürdiges Verhalten von ihm und einige Wochen später stellte ich fest, dass mein Mann jemanden sieht. Er fing an, spät von der Arbeit nach Hause zu kommen, er kümmert sich kaum noch um mich oder die Kinder. Manchmal geht er aus und kommt für 2-3 Tage nicht einmal nach Hause zurück. Ich habe alles getan, um dieses Problem zu beheben, aber alles ohne Erfolg. Ich wurde sehr besorgt und brauchte Hilfe. Als ich eines Tages im Internet surfte, stieß ich auf eine Website, auf der vorgeschlagen wurde, dass Dr. OMOOGUN helfen kann, Eheprobleme zu lösen, zerbrochene Beziehungen wiederherzustellen und so weiter. Also hatte ich das Gefühl, ich sollte es versuchen. Ich habe ihn kontaktiert und er hat einen Zauber für mich gemacht. Zwei Tage später kam mein Mann zu mir und entschuldigte sich für das Unrecht, das er getan hatte und versprach, es nie wieder zu tun. Seitdem hat sich alles wieder normalisiert. Ich und meine Familie leben wieder glücklich zusammen. Vielen Dank an Dr. OMOOGUN. Wenn Sie einen Zauberwirker benötigen, der einen wirklich wirkenden Zauber wirken kann, empfehle ich Ihnen, ihn zu kontaktieren. Er wird dich nicht enttäuschen. Dies ist seine E-Mail:
omooguntempleofanswer@gmail.com oder Website: https://omooguntempleofansweratgmail.wordpress.com/
https://omoogunspellcaster.wixsite.com/website me WhatsApp +2348149416142